マンジャロの副作用!いつまで続くかやダイエット中に起こりやすい症状と対処法

マンジャロは下痢・胃もたれなど、消化器症状(※)に加え、アレルギー、横紋筋融解症といった副作用が出る恐れがあります(※参照元:志木市「最近の糖尿病治療」)

ただし、そもそもマンジャロは糖尿病治療に用いられる治療薬であり、ダイエットで使用した場合の副作用や対処法といった情報が少なく、始める前に不安を感じる方も少なくありません。

そこで本記事では、マンジャロの主な副作用を紹介しつつ、対処法も解説します。

マンジャロの副作用

マンジャロ 副作用

マンジャロ(一般名:チルゼパチド)は、血糖値の調整や肥満治療で使用される受容体作動薬です。

しかし、マンジャロで検索すると「マンジャロ 気持ち悪さ」など副作用として吐き気などの消化器系の症状が出ていることがわかります。

マンジャロ 吐き気

ここでは、実際にマンジャロ服用でどのような副作用があるのか解説します。

①消化器系の症状

マンジェロの副作用1つ目は、消化器系(下痢・胃もたれなど)の症状です。

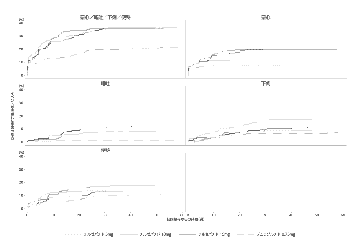
実際に、以下の厚生労働省のデータでは、吐き気や下痢・便秘・消化不良・食欲減退といった消化器系の副作用が出ている割合が多いことがわかります。

マンジャロ 消化器系最適使用推進ガイドライン・チルゼパチド

これらの症状は投与開始から2~4週間がピークとなり、徐々に軽減することが多いとされています。

ただし、副作用の持続期間や強度は個人差があり、症状が長引く場合は医師への相談が必要です。

②アレルギー反応

マンジェロの副作用2つ目は、アレルギー症状です。

具体的には、発症頻度は1%未満とされていますが、アナフィラキシーや過敏症(湿疹、発疹、血管性浮腫)などのアレルギー反応の報告もあります。

アナフィラキシーは重篤な副作用であり、急激な血圧低下や呼吸困難などの症状を伴います。

アナフィラキシーとは、「アレルゲン等の侵入により、複数臓器に全身性にアレルギー症状が惹起され、生命に危機を与え得る過敏反応」と定義される。

引用:厚生労働省・アナフィラキシーとは

そのため、過去に薬剤アレルギーがある患者は投与前に医師と十分な相談を行い、異変を感じた際はただちに医療機関への受診が必要とされています。

③横紋筋融解症

マンジェロの副作用3つ目は、横紋筋融解症です。

マンジェロに特有の副作用としては極めて稀ですが、横紋筋融解症になるリスクも見逃せません。

横紋筋融解症は筋肉細胞の壊死により血液中に筋肉成分が流出し、腎障害などを引き起こす重篤な状態のことです。

骨格筋の細胞が融解、壊死することにより、筋肉の痛みや脱力などを生じる「横紋筋融解症」は、医薬品によって引き起こされる場合があります。

引用:厚生労働省・横紋筋融解症

たとえば、筋肉痛が長く強く続いている、尿の色が赤色になるなどの症状に気づいた場合は、速やかに医療機関での検査をしてください。

マンジャロの副作用はいつまで続く?

マンジャロの副作用は一般的に投与開始から数時間後に起こり、ピークは最大でも2週間程度が多いとされています。

副作用はいつから? ピークはいつまで?

投与開始後
数時間〜数日

約1〜2週間

とくに、初回投与後や用量を増量した後に感じやすい傾向があります。

副作用の多くは、体が薬に慣れるまでの一時的なものなので痛みや腫れなどが強くなければそこまで心配することはないことが多いです。

投与開始から1週間~2週間がピーク

マンジャロによる副作用は、投与から1週間から2週間のあいだに最も強く現れるケースが多いとされています。

これは体内の薬物濃度が安定し、代謝や受容体の反応が一定に達するためです。

また、2型糖尿病の患者を対象にしたデータでは、用量を増やすと副作用が出ることもわかっています。

マンジャロ 副作用 発現時間医薬品インタビューフォーム

初期2週間に吐き気・下痢・頭痛などの報告率が最も高く、以降は徐々に減少する傾向が確認されています。

多くは、2週目以降に副作用が軽減し、安定状態に移行します。

出るタイミングは投与開始から数時間~数日後

副作用の発現タイミングは人によっても異なりますが、数時間~数日後に始めて出てくることが多いです。

このような薬はすぐに反応がでることが多いですが、マンジャロは注射薬で作用が持続するため、副作用の出現は数日後になる場合もあります。

そのため、服薬開始後の最初の数日は特に体調の変化を観察することが重要です。

なぜマンジャロで副作用が出るのか

そもそも、なぜマンジャロで副作用が起こるかというと、身体にしっかりと作用し始めた証拠でもあります。

つまり、副作用は身体が新しい状態に慣れようとしている「適応期間」のサインなのです。

ただし、副作用の痛みや腫れが強いなど不安な場合は、医師に相談することをおすすめします。

胃の動きがゆっくりになる

マンジャロで最も多い吐き気や胃のむかつきは、胃の動きがゆっくりになる作用が原因とされています。

マンジャロの効果で胃の動きが穏やかになることで食べ物が胃に留まる時間が長くなり、「吐き気」や「胃のむかつき」を感じることがあるのです。

脳の満腹中枢が刺激される

マンジャロのダイエット効果が期待される理由である、脳の満腹中枢が刺激されることで副作用を感じる人もいます。

マンジャロを投与すると「お腹がいっぱいだ」と強く感じることで食欲が落ちると同時に、人によっては軽い気分の悪さを感じることがあります。

マンジャロでダイエット中に副作用がでたらどうする?

マンジャロを使ってダイエット中に副作用が出た場合、症状によって取るべき行動が異なります。

マンジャロは副作用が出やすいため、便秘や吐き気といった消化器系の症状が出た場合は様子見でも問題ないことが多いです。

ただし、今までにない激しい腹痛やかゆみなどのアレルギー反応、意識が朦朧とするなどの症状が出た場合は、迅速に医療機関を受診しましょう。

ここでは、症状別に取るべき具体的行動を解説します。

消化器系の症状が出た場合

マンジャロを投与してから吐き気や便秘といった消化器系の症状が出た場合、基本的には様子見で問題ないとされています

  • 吐き気・嘔吐
  • 下痢・便秘
  • 食欲減退

ただし、背中や右上の腹部が痛む場合、急性膵炎や胆石・胆のう炎といった可能性があることが報告されています。(SURPASS-4試験

もし、消化器系の症状と同時に痛みも感じる場合は、早急に病院を受診しましょう。

今までにない痛みやアレルギー反応が出た場合

マンジャロを継続して使用している人も、今までにない痛みやアレルギー反応が起こることもあり、症状に気づいたら迅速に受診が必要です。

ほとんどの副作用は一過性ですが、ごく稀に、以下のような重篤な副作用の初期症状である可能性があります。

症状の内容 疑われる状態 補足説明(原因や背景)
今までにない激しい腹痛や背中の痛み 急性膵炎の疑い 膵臓の炎症により強い痛みを感じることがあり、血中の膵酵素値が上昇する場合があります。
じんましん、顔の腫れ、息苦しさ アナフィラキシーショックの疑い 免疫反応による全身性アレルギー反応で、薬成分に対する過敏反応の一種です。
冷や汗、動悸、意識が朦朧とするなどの重い低血糖症状 他の糖尿病薬との併用時など インスリン分泌促進薬などと併用した際に血糖値が過度に下がることがあります

これらの症状が見られた場合は、直ちにマンジャロの使用を中止し、速やかに医療機関を受診してください。

マンジャロの副作用を減らすポイント

メーカーの情報によると、マンジャロの副作用は、5%以上の患者に吐き気を含む消化器系の症状が出ると報告されています。

マンジャロの副作用が出やすい時期を、できるだけ快適に乗り越えるための具体的な対策を紹介します。

対策①:食事は「少量・頻回」で分ける

一度にたくさん食べると胃に負担がかかり、吐き気の原因になります。

そのため、1回の食事量を減らし、回数を分けて食べるのがおすすめです。

量を控えめにし、数回に分けて摂る

引用:国立がん研究センター(吐き気・嘔吐)

揚げ物やクリーム系のこってりした食事は避け、うどんや豆腐、おかゆなど消化の良いものを選びましょう。

また、マンジャロ投与中は便秘にもなりやすくなるので、きのこや海藻、野菜などの食物繊維と、十分な水分を摂ることを意識しましょう。

対策②:水分補給を徹底する

脱水は吐き気を悪化させるため、こまめに水分を補給しましょう。

  • 経口補水液
  • スポーツ飲料
  • スープ各種

すでに吐いてしまっているなら、速やかに体に水分・電解質を補給できる経口補水液やスポーツ飲料がおすすめです。(国立がん研究センター:吐き気・嘔吐がある方のお食事

ただし、すっきりしそうな炭酸飲料は胃を刺激することがあるので、避けた方が無難です。

対策③:自己判断で注射をやめたり、減量しない

吐き気などの副作用が辛いからといって自己判断で注射をやめてしまうと、計画が台無しになります。

とくに用量を増やす際に副作用が出やすくなるので、自己判断でまとめて打ったり打つ間隔を短くするのは危険です。

時には投与量を減らすなどの方法を提案してくれることもあるので、不安や疑問に思うことがあれば必ず医師に相談して指示を仰ぎましょう。

対策④:医師に相談する

症状が辛い場合は、我慢せずに医師に相談しましょう。

吐き気止めや便秘薬などを処方してもらうことも可能で、辛い時期を格段に楽に乗り越えられます。

マンジャロでダイエットをする方向けの注意点

マンジャロでダイエットする際は、医師に相談のもと進めることが重要です。

服用中の薬との相性や副作用など、不安なことがあれば相談しながら進めましょう。

注射部位は毎回変える

マンジャロ(一般名:チルゼパチド)は週1回皮下注射で使用される薬剤であり、体重減少効果が臨床的に確認されています。

ただし、注射部位を毎回同じ場所にすると、脂肪組織の硬化(脂肪萎縮や硬結)が生じ、薬剤吸収率が不安定になる報告があります。

実際に利用方法にも、注射部位のローテーションを推奨しています。

注射部位(腹部、大腿部又は上腕部)の皮下に投与すること。注射部位は毎回変更すること。

引用:医薬品インタビューフォーム・マンジャロ

部位を腹部、大腿部、上腕のいずれかに分けて順番に変えることで、皮下組織への負担が軽減され、薬効を安定的に維持しやすくなります。

服用中の薬がある人は必ず医師に伝える

マンジャロはGLP-1受容体およびGIP受容体作動薬であり、他の薬と併用した場合に作用や副作用が変化する可能性があります。

GIP/GLP-1受容体作動薬と呼ばれる薬で、週1回の投与で効果が持続するように製剤的な工夫をした注射薬です。

引用:患者向医薬品ガイド・マンジャロ

とくに、糖尿病薬(インスリン、スルホニル尿素薬など)と併用すると低血糖が発生するリスクが統計的に上昇することが報告されています。

また、インスリン製剤又はスルホニルウレア剤との併用時に重篤な低血糖症状があらわれ意識消失を来す例も報告されている。

引用:保険医が投与することができる注射薬

服用中の薬剤の相互作用や投与量の調整は個別に異なるため、必ず主治医にすべての服薬情報を伝えることが安全性確保のために必要です。

重大な副作用に気づいたらすぐに受診する

マンジャロは臨床試験で多くの人に有効性が確認されていますが、一部では重大な副作用が報告されています。

主なものとして急性膵炎や胆のう炎、重度の消化器症状(嘔吐・持続する腹痛)、低血糖、横紋筋融解症のリスクが挙げられます。

  • 急性膵炎
  • 胆石・胆のう炎
  • 低血糖
  • 横紋筋融解症

副作用の早期発見と受診は、治療継続の安全性を確保するうえで欠かせない対応です。

マンジャロの副作用に関するQ&A

マンジャロの副作用について、よくある質問をまとめました。

Q1. 副作用が全く出ない人もいますか?

マンジャロを服用しても、副作用が全く出ない人もいます。

半数近くの方は、吐き気などの目立った副作用をほとんど感じることなく治療を続けられます。

副作用の有無とダイエット効果の有無は全く関係ありませんので、副作用がなくても心配しないでください。

Q2. 副作用はいつまで続きますか?

胃腸症状などの主な副作用は、体が薬に慣れる1〜2週間で自然に軽快していくことがほとんどです。

ただし、用量を増量した際に、再び軽い症状が出ることがあります。

Q3. 副作用が怖くて始める勇気が出ません…

不安な気持ちは医師に相談してみることをおすすめします。

病院では副作用のリスクを丁寧に説明し、吐き気止めを最初からセットで処方するなど、あなたが安心してスタートできる万全のサポート体制を整えています。

さらに、マンジャロ以外にも用意している病院もあるので、あなたに合った方法を提案してくれるでしょう。

マンジャロには副作用がある!ダイエットを安心・安全に継続するためには正規クリニックへの相談がおすすめ

マンジャロの副作用は、治療開始後の最初の1〜2週間に集中しますが、そのほとんどは体が薬に慣れるまでの一時的なものです。

そして、食事の工夫や医師からのサポートで、その辛さは必ず乗り越えることができます。

マンジャロをできるだけ安心に使いたい人は、正規クリニックに相談することをおすすめします。

NEW ARTICLES | 新着記事